Исследование распределения остаточных напряжений в поверхностно упрочненном цилиндрическом образце с технологическим концентратором напряжений

Cover Page

Cite item

Full Text

Abstract

Обоснование. Уменьшению прочностного ресурса валов редукторов, подвергающихся воздействию эксплуатационных растягивающих нагрузок, способствуют полученные на стадии изготовления технологические концентраторы напряжений (канавки, выточки, пазы). Снижение чувствительности материалов таких деталей к вышеперечисленным конструктивным элементам возможно при использовании метода опережающего поверхностного пластического деформирования (ОППД), заключающегося в особом способе наведения сжимающих остаточных напряжений (ОН) в зоне технологического концентратора, компенсирующих эксплуатационные растягивающие напряжения [1, 2].

Цель ― исследовать эффективность наведения методом ОППД сжимающих ОН на примере гидродробеструйной обработки (ГДО) сплошного цилиндрического образца из стали 45 радиусом R1 = 30 мм и длиной l1 = 122 мм с концентратором напряжений в виде канавки для выхода шлифовального круга, имитирующего нагруженную изгибающим моментом M = 472,4 Н∙м поверхностно упрочненную часть ступенчатого вала редуктора (рис. 1).

 

Рис. 1. Расчетная схема поверхностно упрочненного цилиндрического образца с канавкой, представляющего часть ступенчатого вала

 

Методы. Ввиду значительной трудоемкости поставленной задачи для ее реализации было использовано цифровое моделирование процесса упрочнения в среде ANSYS. Такой подход предполагает решение задачи фиктивной термоупругости на основе феноменологической модели упрочнения гладкого цилиндрического образца (до образования на образце технологического концентратора напряжений), подробно изложенное в работе [2], с последующим использованием технологии ОППД (формирование канавки) на построенной конечно-элементной модели поверхностно упрочненного цилиндрического образца.

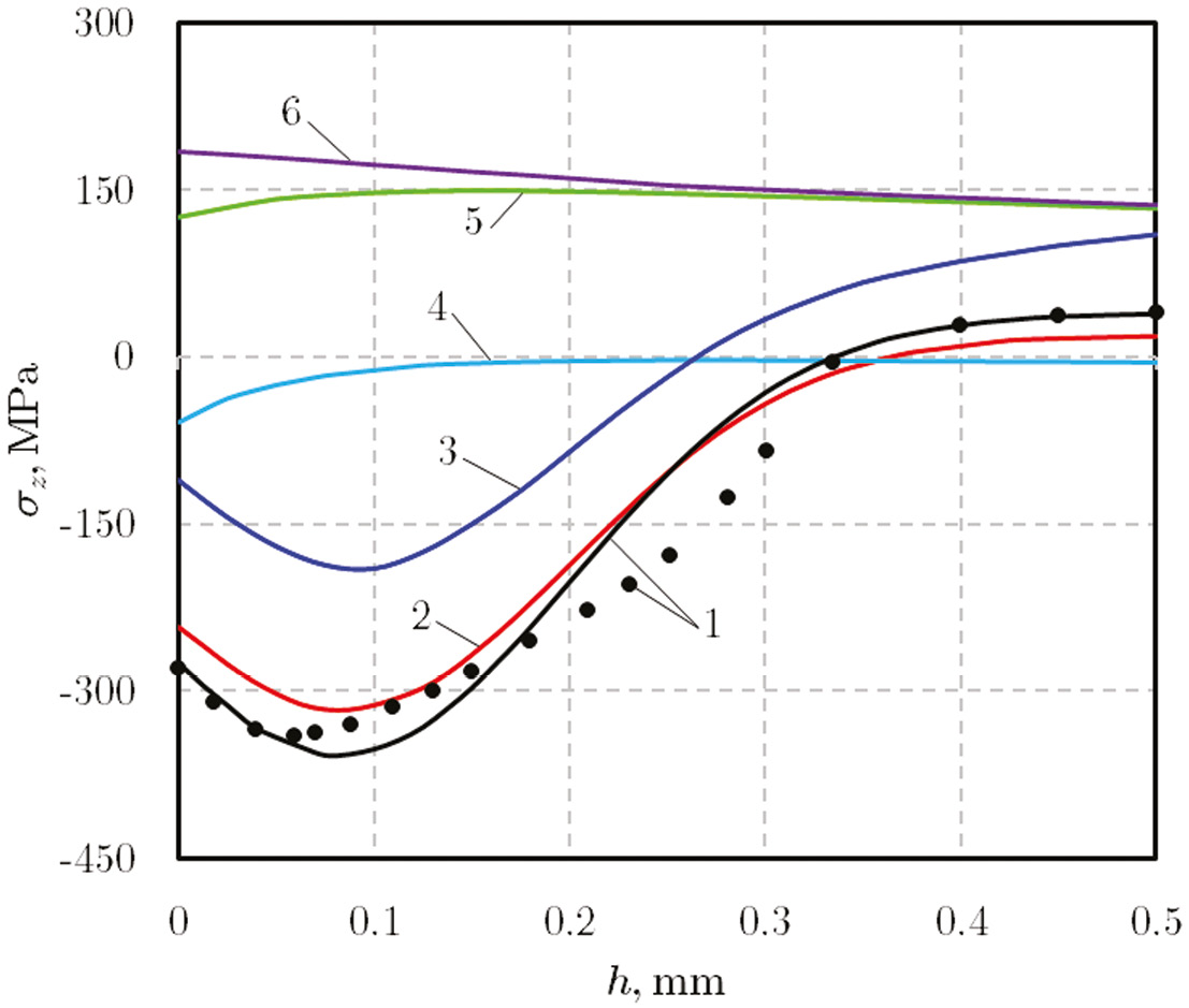
Результаты. Сопоставление всех полученных результатов численных расчетов на примере поверхностно упрочненного методом ГДО цилиндрического образца из стали 45 приведено ниже на рис. 2. Кривая 1 соответствует расчетным (сплошная линия) и экспериментальным (маркеры) данным для гладкого поверхностно упрочненного образца радиусом R0 = 5 мм без нагрузки, приведенных в работе [2]. Аналогичные результаты для образца радиусом R1 = 30 мм без нагрузки показаны в виде кривой 2, с учетом нагружения ― кривой 3. Кривыми 4−6 показаны расчетные данные для случая образца радиусом R1 = 30 мм при наличии концентратора напряжений (канавки) в сечении скругления радиусом R1,6. При этом кривыми 4 и 5 представлены расчетные случаи упрочненного образца без нагрузки и с нагружением соответственно. Расчетный случай неупрочненного образца под действием изгибающего момента показан кривой 6.

 

Рис. 2. Распределение ОН σz = σz(h) по высоте h в зависимости от рассматриваемого расчетного случая образца

 

Из графиков видно, что расчетные результаты ОН в моделях ненагруженных упрочненных образцов хорошо согласуются с данными эксперимента за пределами толщины упрочненного слоя. Для случаев нагруженных моделей результаты имеют асимптотическое сближение. При сравнении случаев нагруженных упрочненного и неупрочненного образцов с канавкой эффективность применения ГДО составляет 32 %.

Выводы. Анализ распределения ОН по компоненте σz = σz(h) для всех рассматриваемых моделей упрочненных образов демонстрирует хорошее сближение с данными эксперимента, что говорит об адекватности численного подхода. Наличие технологического концентратора напряжений оказывает серьезное влияние на напряженное состояние в приповерхностном упрочненном слое. Тем не менее эффективность применения упрочнения нагруженного цилиндрического образца по сравнению с неупрочненной структурой в пределах 250 мкм от наружной поверхности достигает 32 %.

Full Text

Обоснование. Уменьшению прочностного ресурса валов редукторов, подвергающихся воздействию эксплуатационных растягивающих нагрузок, способствуют полученные на стадии изготовления технологические концентраторы напряжений (канавки, выточки, пазы). Снижение чувствительности материалов таких деталей к вышеперечисленным конструктивным элементам возможно при использовании метода опережающего поверхностного пластического деформирования (ОППД), заключающегося в особом способе наведения сжимающих остаточных напряжений (ОН) в зоне технологического концентратора, компенсирующих эксплуатационные растягивающие напряжения [1, 2].

Цель ― исследовать эффективность наведения методом ОППД сжимающих ОН на примере гидродробеструйной обработки (ГДО) сплошного цилиндрического образца из стали 45 радиусом R1 = 30 мм и длиной l1 = 122 мм с концентратором напряжений в виде канавки для выхода шлифовального круга, имитирующего нагруженную изгибающим моментом M = 472,4 Н∙м поверхностно упрочненную часть ступенчатого вала редуктора (рис. 1).

 

Рис. 1. Расчетная схема поверхностно упрочненного цилиндрического образца с канавкой, представляющего часть ступенчатого вала

 

Методы. Ввиду значительной трудоемкости поставленной задачи для ее реализации было использовано цифровое моделирование процесса упрочнения в среде ANSYS. Такой подход предполагает решение задачи фиктивной термоупругости на основе феноменологической модели упрочнения гладкого цилиндрического образца (до образования на образце технологического концентратора напряжений), подробно изложенное в работе [2], с последующим использованием технологии ОППД (формирование канавки) на построенной конечно-элементной модели поверхностно упрочненного цилиндрического образца.

Результаты. Сопоставление всех полученных результатов численных расчетов на примере поверхностно упрочненного методом ГДО цилиндрического образца из стали 45 приведено ниже на рис. 2. Кривая 1 соответствует расчетным (сплошная линия) и экспериментальным (маркеры) данным для гладкого поверхностно упрочненного образца радиусом R0 = 5 мм без нагрузки, приведенных в работе [2]. Аналогичные результаты для образца радиусом R1 = 30 мм без нагрузки показаны в виде кривой 2, с учетом нагружения ― кривой 3. Кривыми 4−6 показаны расчетные данные для случая образца радиусом R1 = 30 мм при наличии концентратора напряжений (канавки) в сечении скругления радиусом R1,6. При этом кривыми 4 и 5 представлены расчетные случаи упрочненного образца без нагрузки и с нагружением соответственно. Расчетный случай неупрочненного образца под действием изгибающего момента показан кривой 6.

 

Рис. 2. Распределение ОН σz = σz(h) по высоте h в зависимости от рассматриваемого расчетного случая образца

 

Из графиков видно, что расчетные результаты ОН в моделях ненагруженных упрочненных образцов хорошо согласуются с данными эксперимента за пределами толщины упрочненного слоя. Для случаев нагруженных моделей результаты имеют асимптотическое сближение. При сравнении случаев нагруженных упрочненного и неупрочненного образцов с канавкой эффективность применения ГДО составляет 32 %.

Выводы. Анализ распределения ОН по компоненте σz = σz(h) для всех рассматриваемых моделей упрочненных образов демонстрирует хорошее сближение с данными эксперимента, что говорит об адекватности численного подхода. Наличие технологического концентратора напряжений оказывает серьезное влияние на напряженное состояние в приповерхностном упрочненном слое. Тем не менее эффективность применения упрочнения нагруженного цилиндрического образца по сравнению с неупрочненной структурой в пределах 250 мкм от наружной поверхности достигает 32 %.

×

About the authors

Самарский государственный технический университет

Author for correspondence.
Email: romandxdy@gmail.com

филиал Самарского государственного технического университета, Сызрань, студент, группа МЗ-21(с), кафедра «Технология машиностроения»

Russian Federation, Сызрань

References

  1. Павлов В.Ф., Кирпичёв В.А., Вакулюк В.С. Остаточные напряжения и сопротивление усталости упрочненных образцов с концентраторами напряжений. Самара: СГАУ, 2011. 125 с.
  2. Радченко В.П., Куров А.Ю. Влияние анизотропии поверхностного пластического упрочнения на формирование остаточных напряжений в цилиндрических деталях с надрезами полукруглого профиля // Вестник Самарского государственного технического университета. Серия: Физико-математические науки. 2016. Т. 20, № 4. С. 675−690. doi: 10.14498/vsgtu1513 EDN: KVEUEO

Supplementary files

Supplementary Files
Action
1. JATS XML
2. Рис. 1. Расчетная схема поверхностно упрочненного цилиндрического образца с канавкой, представляющего часть ступенчатого вала

Download (141KB)
3. Рис. 2. Распределение ОН σz = σz(h) по высоте h в зависимости от рассматриваемого расчетного случая образца

Download (99KB)

Copyright (c) 2025 Козырев Р.С.

Creative Commons License
This work is licensed under a Creative Commons Attribution 4.0 International License.