Синтез полициклических азотсодержащих соединений на основе продуктов автоконденсации циклогексанона
- Autores: 1
-
Afiliações:
- Тольяттинский государственный университет
- Edição: Volume 1 (2025)
- Páginas: 207-209
- Seção: ЧАСТЬ I. Химия
- ##submission.dateSubmitted##: 26.05.2025
- ##submission.dateAccepted##: 18.06.2025
- ##submission.datePublished##: 02.11.2025
- URL: https://manmiljournal.ru/osnk-sr2025/article/view/680584
- ID: 680584
Citar
Texto integral
Resumo
Обоснование. Реакцией альдольно-кротоновой конденсации (автоконденсации) сопровождаются многие процессы промышленной переработки циклогексанона. Это связано с его высокой химической активностью [1]. В связи с чем промышленный синтез капролактама, полиамида, адипиновой кислоты и других востребованных соединений зачастую осложняется проблемой квалифицированного использования побочных продуктов автоконденсации. Так, в нашей работе предлагается трансформация бициклических продуктов автоконденсации циклогексанона в первичные, вторичные и третичные амины, потенциально обладающие антикоррозионной и биологической активностью, также они могут быть использованы как промежуточные соединения на пути синтеза многих востребованных продуктов. Кроме того, в литературе известно лишь три работы, посвященные получению оснований Манниха и енаминов на основе 2-циклогексенилциклогексанона 1 [2–4], что придает фундаментальный характер исследованию сочетания стерически затрудненных α-замещенных кетонов с аминами.
Цель — разработка методов синтеза полициклических аминов на основе продуктов автоконденсации циклогексанона.
Методы. Анализ литературы, проведение лабораторных синтетических и оптимизационных экспериментов по восстановительному аминированию кетона 1. Структуры полученных соединений надежно установлены с помощью ЯМР 1Н,13С спектроскопии.
Результаты. Синтез третичных аминов может быть проведен методом одностадийного восстановительного аминирования кетона 1 вторичными аминами в присутствии хемоселективного восстановителя NaBH(OAc)3 в среде дихлорэтана. В связи с тем, что структура кетона 1 содержит хиральный и прохиральный атомы углерода, полученный вторичный амин представляет собой смесь двух диастереомеров, что и было подтверждено экспериментальными данными, причем одна из конфигураций получена с de 74 %. Однако при использовании восстановителя NaBH3CN меньшего эффективного размера диастереомерный избыток составил 10 %. Мы предположили, что на диастереоселективность реакции существенное влияние оказывает эффективный размер восстановителя. Так, в результате варьирования ацильных заместителей нам удалось повысить диастереомерный избыток до 88 % при использовании NaB(i-PrCH2CO2)3H. Кроме того, выявлено и влияние растворителя на данный параметр, а именно проведение восстановительного аминирования в присутствии NaB(i-PrCH2CO2)3H и в среде ССl4 позволило достичь de 92 %. Эффективность данного метода подтверждена на примерах использования структурно разнообразных аминов 2a-l (рис. 1). Методом спектроскопии ЯМР 1Н,13С подтверждена цис-конфигурация полученных продуктов.
Рис. 1. Схема цис-диастереоселективного синтеза вторичных аминов на основе кетона 1
Предположив возможность специфической сольватации интермедиата электронодонорным растворителем (Et3N), а также с учетом малого размера NaBH3CN, нами был разработан транс-диастереоселективный метод получения вторичных аминов (рис. 2). В связи со сложностью метода, представлено три примера синтеза вторичных аминов транс-конфигурации.
Рис. 2. Схема цис-диастереоселективного синтеза вторичных аминов на основе кетона 1
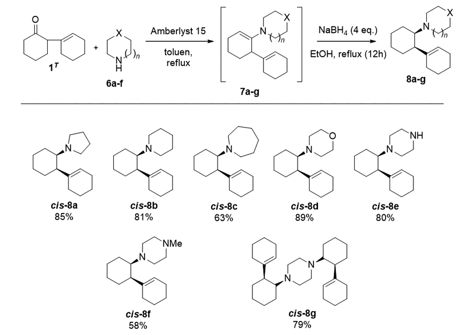
Разработанные ранее методы восстановительного аминирования кетона 1 при переходе к синтезу третичных аминов оказались малоэффективны в связи с низкой активностью реагирующих вторичных аминов. Поэтому третичные амины получали двухстадийным методом через образование соответствующих енаминов (рис. 3).
Рис. 3. Схема синтеза третичных аминов на основе кетона 1
Первичные амины, включающие бициклический фрагмент кетона 1, cis-9 и trans-9 были получены с выходами 86 и 83 % соответственно путем дебензилирования соответствующих бензиламинов 5g в условиях гидрогенолиза при атмосферном давлении в присутствии палладия (10 %) на угле.
Выводы. Разработаны методы одностадийного восстановительного аминирования стерически затрудненного α-замещенного кетона 1 первичными аминами, а также оценена применимость разработанных методов к синтезу третичных аминов, которые цис-диастереоспецифично были получены через образование промежуточных енаминов. Кроме того, диастереоселективный синтез вторичных аминов типа 5g позволил перейти к первичным аминам 9. Несомненно, полученные результаты являются примером квалифицированного использования отходов производств, связанных с химическим превращением циклогексанона.
Palavras-chave
Texto integral
Обоснование. Реакцией альдольно-кротоновой конденсации (автоконденсации) сопровождаются многие процессы промышленной переработки циклогексанона. Это связано с его высокой химической активностью [1]. В связи с чем промышленный синтез капролактама, полиамида, адипиновой кислоты и других востребованных соединений зачастую осложняется проблемой квалифицированного использования побочных продуктов автоконденсации. Так, в нашей работе предлагается трансформация бициклических продуктов автоконденсации циклогексанона в первичные, вторичные и третичные амины, потенциально обладающие антикоррозионной и биологической активностью, также они могут быть использованы как промежуточные соединения на пути синтеза многих востребованных продуктов. Кроме того, в литературе известно лишь три работы, посвященные получению оснований Манниха и енаминов на основе 2-циклогексенилциклогексанона 1 [2–4], что придает фундаментальный характер исследованию сочетания стерически затрудненных α-замещенных кетонов с аминами.
Цель — разработка методов синтеза полициклических аминов на основе продуктов автоконденсации циклогексанона.
Методы. Анализ литературы, проведение лабораторных синтетических и оптимизационных экспериментов по восстановительному аминированию кетона 1. Структуры полученных соединений надежно установлены с помощью ЯМР 1Н,13С спектроскопии.
Результаты. Синтез третичных аминов может быть проведен методом одностадийного восстановительного аминирования кетона 1 вторичными аминами в присутствии хемоселективного восстановителя NaBH(OAc)3 в среде дихлорэтана. В связи с тем, что структура кетона 1 содержит хиральный и прохиральный атомы углерода, полученный вторичный амин представляет собой смесь двух диастереомеров, что и было подтверждено экспериментальными данными, причем одна из конфигураций получена с de 74 %. Однако при использовании восстановителя NaBH3CN меньшего эффективного размера диастереомерный избыток составил 10 %. Мы предположили, что на диастереоселективность реакции существенное влияние оказывает эффективный размер восстановителя. Так, в результате варьирования ацильных заместителей нам удалось повысить диастереомерный избыток до 88 % при использовании NaB(i-PrCH2CO2)3H. Кроме того, выявлено и влияние растворителя на данный параметр, а именно проведение восстановительного аминирования в присутствии NaB(i-PrCH2CO2)3H и в среде ССl4 позволило достичь de 92 %. Эффективность данного метода подтверждена на примерах использования структурно разнообразных аминов 2a-l (рис. 1). Методом спектроскопии ЯМР 1Н,13С подтверждена цис-конфигурация полученных продуктов.
Рис. 1. Схема цис-диастереоселективного синтеза вторичных аминов на основе кетона 1
Предположив возможность специфической сольватации интермедиата электронодонорным растворителем (Et3N), а также с учетом малого размера NaBH3CN, нами был разработан транс-диастереоселективный метод получения вторичных аминов (рис. 2). В связи со сложностью метода, представлено три примера синтеза вторичных аминов транс-конфигурации.
Рис. 2. Схема цис-диастереоселективного синтеза вторичных аминов на основе кетона 1
Разработанные ранее методы восстановительного аминирования кетона 1 при переходе к синтезу третичных аминов оказались малоэффективны в связи с низкой активностью реагирующих вторичных аминов. Поэтому третичные амины получали двухстадийным методом через образование соответствующих енаминов (рис. 3).
Рис. 3. Схема синтеза третичных аминов на основе кетона 1
Первичные амины, включающие бициклический фрагмент кетона 1, cis-9 и trans-9 были получены с выходами 86 и 83 % соответственно путем дебензилирования соответствующих бензиламинов 5g в условиях гидрогенолиза при атмосферном давлении в присутствии палладия (10 %) на угле.
Выводы. Разработаны методы одностадийного восстановительного аминирования стерически затрудненного α-замещенного кетона 1 первичными аминами, а также оценена применимость разработанных методов к синтезу третичных аминов, которые цис-диастереоспецифично были получены через образование промежуточных енаминов. Кроме того, диастереоселективный синтез вторичных аминов типа 5g позволил перейти к первичным аминам 9. Несомненно, полученные результаты являются примером квалифицированного использования отходов производств, связанных с химическим превращением циклогексанона.
Sobre autores
Тольяттинский государственный университет
Autor responsável pela correspondência
Email: pan.bogdan2017@yandex.ru
студент, группа ХТм-2302а, институт химии и энергетики
Rússia, ТольяттиBibliografia
- Svetozarskii S.V., Zil’berman E.N. Autocondensation of cyclic ketones // Russian Chemical Reviews. 1970. Vol. 39, N 7. P. 553–561. doi: 10.1070/RC1970v039n07ABEH002006 EDN: UPYHEP
- Roth H.J., Thaßler K. Vinyloge aminomethylierung des piperitons // Arch Pharm Ber Dtsch Pharm Ges. 1971. Vol. 304, N 11. P. 816–818. doi: 10.1002/ardp.19713041105
- Wakchaure V.N., Zhou J., Hoffmann S., List B. Catalytic asymmetric reductive amination of α-branched ketones // Angew Chem Int Ed Engl. 2010. Vol. 49, N 27. P. 4612–4614. doi: 10.1002/anie.201001715 EDN: NADUMB
- Bogdanowicz-Szwed K., Rys B. Reaction of some cyclic dienamines of carbothioic acid anilides with malononitrile // Liebigs Annalen der Chemie. 1989. Vol. 1989, N 11. P. 1131–1134. doi: 10.1002/jlac.198919890281
- Podyacheva E., Afanasyev O., Tsygankov A., Makarova M., Chusov D. Hitchhiker’s guide to reductive amination // Synthesis. 2019. Vol. 51, N 13. P. 2667–2677. doi: 10.1055/s-0037-1611788 EDN: SZLPEB
Arquivos suplementares





